Налаштування сучасного універсального токарно-гвинторізного верстата на нарізування різьблення зводиться до настроювання приводів головного руху та руху подачі.
Налаштування коробки подач на крок нарізаної різьби в більшості випадків здійснюється за допомогою таблиці, укріпленої на станці, або за паспортом.
Рукоятки керування коробки подач встановлюють у положення, зазначене в таблиці, а реверс ходового гвинта - у положення, що відповідає нарізанню правого або лівого різьблення, і при необхідності включають ланку збільшення кроку різьблення.
Обертання коробки подач повідомляється ходовому гвинту, а включення поздовжнього переміщення супорта з різьбовим різцем відбувається при замиканні роз'ємної гайки.
При нарізанні різьблення підвищеної точності або з нестандартним кроком налаштування ланцюга поздовжньої подачі вимагає виконання попередніх розрахунків, іноді досить складних (наприклад, при настроюванні гвинторізного ланцюга не коробкою подач, а гітарою змінних коліс). У сучасних універсальних токарних верстатах передбачено можливість повного відключення коробки подач; ведення вал гітари при цьому з'єднується безпосередньо з ходовим винтом верстата. У цих випадках потрібно підібрати змінні колеса зі верстата, що є в комплекті, або виготовити додаткові. Підбір числа зубів змінних коліс можна проводити двома способами.
При першому способі важелі коробки подач ставляться в положення, при якому нарізаний крок дорівнює кроці ходового ггвинта верстата. Таким чином, передаточне число дорівнює кроку нарізаного гвинта, поділеному на крок ходового гвинта. У випадках, коли чисельник чи знаменник передавального числа простого дробу матиме множники, незручні для перетворення їх у числа зубів змінних зубчастиних коліс, розрахунок слід вести за таблицями передавальних чисел.
При іншому способі підбір змінних коліс здійснюється за одним із передавальних чисел змінних коліс, що є в наявності (хоча б і з інших верстатів), або за передавальним числом коробки подач.
Якщо необхідно виготовити різьблення з малими допусками по кроку, а винт ходовий верстата має помилку при виготовленні, то підбір виконують наближеними методами.

Основні вузли та органи керування токарним верстатом 1к62
Основні вузли та органи керування токарним верстатом 1К62. Дивуватися у збільшеному масштабі
Передня бабка служить для повідомлення шпинделю різних швидкостей обертання при різанні, свердлінні, нарізанні різьблення і приводити в рух змінні зубчасті колеса прихилу. Механізм передньої бабки дозволяє:
Передня бабка встановлюється на лінії центрів у горизонтальній плоскості двома установочними та двома стопорними ггвинтами 1 (рис. 5).
Встановлення числа обертів шпинделя здійснюється двома ручками 5 та 9 (див. рис. 3). Поворотом рукоятки 9, яка через механізм з цевим зачепленням і вилки перемикання здійснює переміщення блоків шестерень 17-18, 19-20 і 24-25 (див. рис. 4), вибирається необхідний ряд чисел обертів таблиці 6, поміщеної під рукояткою. Обертанням рукоятки 5, яка за допомогою плоского замкнутої кривої копіра, важильного механізму і вилок перемикання здійснює переміщення блоків шестерень 9-10 і 11-12-13, встановлюється необхідне число обертів шпинделя з ряду, обраного рукояткою 90 При установці 9 необхідно відхилити вперед від себе, а потім повернути вліво. Пристрій перемикання дозволяє отримати 23 різні швидкості прямого обертання шпинделя та 12 швидкостей зворотного обертання.
Вмикання та вимикання фрикційної муфти, а також стрічкового гальма головного приводу здійснюється рукоятками 28 та 37 (рис. 3). При включенні прямого обертання шпинделя одну з ручок слід підняти вгору, при включенні зворотного опустити вниз. При поверненні рукояток 28 і 37 до середнього положення включається стрічковий гальмо.
Механізм коробки подач дозволяє через ходовий винт з кроком 12 мм (без ланки збільшення кроку) отримати такі різьби:
За допомогою механізму збільшення кроку при числі обертів шпинделя від 12,5 до 40 можна отримати різьблення зі збільшеним кроком, що перевищує нормальний у 32 рази, а при числі обертів від 50 до 160-8 разів відповідно до даних таблиці на рукоятці 38 (див. 3).
Через ходовий валик супорт при будь-якому кількості обертів шпинделя отримує поздовжні подачі від 0,07 до 2,08 мм/об і поперечні від 0,035 до 1,04 мм/об, а при числі обертів від 50 до 630 за хвилину від 2,28 до 4,16 мм/про та поперечні від 1,14 до 2,08 мм/про.
Для нарізання більш точних різьблень у коробці подач передбачено положення рукоятки 2 (рис. 3), при якому ходовий винт включається безпосередньо, минаючи механізм коробки подач. У цьому потрібний крок підбирається змінними шестернями спеціального набору.
Поворотом рукоятки 38 визначається вибір ряду різьблення чи подач. Для отримання необхідної величини з вибраного ряду різьблення або подачі необхідно барабанний диск з рукоятки витягнути на собі, повернути до збігу ризики диска з відповідною графою таблиці барабана, а потім подати диск уперед у попереднє положення.
Для здійснення швидких переміщень суппорта у коробці подач на вихідному валу змонтовано обгінну муфту.
Фартух має чотири кулачкові муфти, що дозволяють здійснити прямий та зворотний хід каретки та суппорта. Керування переміщеннями каретки та нижньої частинини суппорта здійснюється мнемонічною рукояткою 16 (див. рис. 3). Напрямок вмикання рукоятки збігається з напрямком переміщення суппорта. Увімкнення швидких переміщень суппорта у зазначених чотирьох напрямках здійснюється додатковим натисканням кнопки 15, вбудованої в рукоятку 16. Цим натисканням включається електродвигун швидких ходів, який через клинопасову передачу повідомляє рух ходового валу.
Фартух має блокуючий пристрій, що перешкоджає одночасному включенню поздовжньої та поперечної подач суппорта, одночасному включенню ходового гвинта та ходового валика. а також запобіжну кулачкову муфту, яка спрацьовує під дією зусиль, що виникають при перевантаженні фартуха.
Для нарізування різьблення слід рукояткою 31 увімкнути гайку ходового гвинта і вивести із зачеплення рейкову шестерню витягуванням кнопки 35 на собі.

Табличка для рукоятки 22 токарного верстата 1к62
1. Табличка для ручки 22 токарного верстата 1К62. Дивуватися у збільшеному масштабі
2. Табличка для ручки 22 токарного верстата 1К62. Дивуватися у збільшеному масштабі

Графічні символи на токарно-гвинторізному верстату 1к62
Графічні символи на токарно-гвинторізному верстату 1К62. Дивуватися у збільшеному масштабі

Графічні символи на токарно-гвинторізному верстату 1к62
Графічні символи на токарно-гвинторізному верстату 1К62. Дивуватися у збільшеному масштабі

Графічні символи на токарно-гвинторізному верстату 1к62
Графічні символи на токарно-гвинторізному верстату 1К62. Дивуватися у збільшеному масштабі

Налаштування швидкості обертання шпинделя верстата 1к62 (табл.18)
Налаштування механізму головного руху 1К62. Дивуватися у збільшеному масштабі

Налаштування швидкості обертання шпинделя верстата 1к62 (табл.18)
Налаштування механізму головного руху 1К62. Дивуватися у збільшеному масштабі

Налаштування механізму подачі токарного верстата 1к62 (табл.19)
Налаштування механізму подач токарно-гвинторізного верстата 1К62. Дивитись у збільшеному масштабі

Налаштування механізму подачі токарного верстата 1к62 (табл.19)
Налаштування механізму подач токарно-гвинторізного верстата 1К62. Дивитись у збільшеному масштабі

Стандартний набір змінних шестерень 1к62 (табл.13)
При відправленні із заводу на верстаті 1К62 встановлюються змінні зубчасті колеса з числом зубів z = 42 (А), z = 95 (В), z = 50 (Б).
Комбінація змінних зубчастиних коліс (А/В)·(В/Б) = (42/95)·(95/50) = (42/50) = 0,84 забезпечує нарізання метричних та дюймових різьблень з кроками, величини яких зазначені в таблиці верстата.
Спіраль Архімеда – це особливий вигляд спіралі з постійною відстанню між витками. Завдяки цій властивості вона широко поширена при проектуванні котушок та пружин.

Налаштування верстата для нарізування торцевих різьблень (табл.14)
Налаштування необхідного числа обертів шпинделя, величини подачі вказано в описі передньої бабки, коробки подач та фартуха.
Дані для налаштування змінних шестерень нахилу наведені в табл. 13.
Дані для налаштування верстата для нарізування різьб торцевих дано в табл. 14.
Формули налаштування прихилу для нарізування торцевих різьблень:
t нар = i см · i п.б · i к.п · i ф. · t х.
де:
t нар - крок нарізання різьблення;
i см - передатне відношення змінних зубчастиних коліс (А / В) · (Г / Б);
i п.б - передатне відношення від шпинделя передньої бабки до змінних зубчастиних коліс;
i к.п - передатне відношення коробки подач;
i ф. - Передатне відношення фартуха;
t х.в - крок ходового ггвинта;
t нар = i см · (64 · 72 · 54) / (185 · шестерні конуса · ланка множника)
де шестірні конуса 26; 28; 32; 36; 40; 44; 48; ланка множника 1; 2; 4; 8.
t нар = 3/8;
i см = А/Б = 46/58;
(46 · 64 · 72 · 54 · 1) / (58 · 185 · 28 · 4) = 9,52459 мм
Помилка на кроці дорівнює 0,00041 мм.
t нар = 7/16;
i см = А/Б = 46/58;
(46 · 64 · 72 · 54 · 1) / (58 · 185 · 48 · 2) = 11,112022 мм
Помилка на кроці дорівнює 0,000478 мм.
При прямому включенні ходового ггвинта рух передається від вихідного колеса "Б" гітари безпосередньо на ходовий гвинт верстата. Перемикання здійснюється рукояткою 1 (Рис.3).
Таким чином, виключаються зубчасті передачі коробки подач, що збільшує точність різьби, що нарізається. Вид різьблення та її крок визначається виключно комбінацією змінних коліс гітари.

Налаштування верстата для нарізання торцевих різьблень (табл.15)
Формули налаштування верстата для нарізування різьблень при прямому включенні ходового ггвинта:
Формула налаштування на модульні різьблення:
(А/В)·(Г/Б) = (π·m·z)/12
Формула налаштування на метричні різьблення:
(А / В) · (Г / Б) = (t нар · z) / 12
Формула налаштування на різьби живлення:
(А/В)·(Г/Б) = (127·π·z)/(60·Р)
Формула налаштування на дюймові різьблення:
(А/В)·(Г/Б) = (127)/(60·Р)
де
m - модуль, мм;
z - число заходів різьблення;
t нар - крок нарізання різьблення, мм;
р - крок, що нарізується в пітчах;
n - Число ниток на дюйм.

Налаштування верстата для нарізування різьблення (табл.20)
Налаштування верстата для нарізування різьблення. Дивитись у збільшеному масштабі

Налаштування верстата для нарізування різьблення (табл.20)
Налаштування верстата для нарізування різьблення. Дивитись у збільшеному масштабі

Табличка укріплена на верстаті токарного верстата 1к62
Табличка укріплена на верстаті токарного верстата 1к62. Дивитись у збільшеному масштабі

Табличка для рукоятки 1 токарного верстата 1к62
Табличка для ручки 1 токарного верстата 1к62. Дивитись у збільшеному масштабі
Дані для налаштування кроку різьби, що нарізається, наведені в таблиці 20.
Змінні шестерні для нарізування різних типів різьблення, не (наведених у таблиці 20), через механізм коробки подач підбираються за формулами:
i см = (42/50) · (t/t 1 )
i см = (64/97) · (m/m 1 )
i см = (42/50) · n 1 /n
i см = (64/97) · Р 1 / Р
де:
i см - передатне відношення змінних зубчастиних коліс;
t - крок нарізання різьблення, мм;
t 1 - крок різьблення по таблиці, мм;
m - модуль, що нарізається, мм;
m 1 - модуль за таблицею, мм;
n - число ниток на дюйм, що нарізається;
n 1 - Число ниток на дюйм по таблиці;
Р - крок, що нарізується в пітчах;
P 1 - крок у пітча за таблицею.
При налаштуванні для нарізування багатозахідних різьблень для поділу на заходи необхідно:

Кінематична схема токарно-гвинторізного верстата 1к62
Кінематична схема токарно-гвинторізного верстата 1К62. Дивитись у збільшеному масштабі
Мф6 - обгінна муфта для вимикання ланцюга подач від електродвигуна М2 при швидкому переміщенні супорта;
Мф7 - запобіжна муфта, що пробуксовує при перевантаженні механізму подач;
Мф8, Мф9 - муфти для включення подачі супорта вліво або вправо;
z - число зубів ступінчастого конуса (блок Б10, z = 26, 28, 32, 36, 40, 44, 48), з накидною шестернею z = 36;
u 2 - передавальні відносини передачі від валу XII валу XIV, яка перемикається блоками Б11 та Б12;
Б1..Б - блоки зубчастиних коліс;
a/b·c/d - змінні зубчасті колеса гітари (прихилу);
Р - крок різьблення в мм.
При нарізанні всіх видів різьблення на верстаті поздовжнє переміщення супорта здійснюється вже ходовим гвинтом XV. Для цього включається муфта Мф5, а шестерня z=10 виводиться із зачеплення із зубчастою рейкою. Подача супорта проводиться у разі включення гайки ходового ггвинта XV.
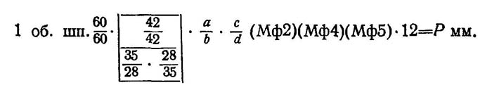
Налаштування механізму подач для нарізування цього різьблення здійснюється шляхом встановлення блоків гітари Б8 і Б9 так, щоб передача здійснювалася через колеса з передавальним відношенням u VIII-IX = (42/95) · (95/50) включенням муфт Мф2, Мф3 та Мф5. Блок Б10 стає у разі провідним.
Рівняння балансу гвинторізного ланцюга запишеться так:

Підставляючи сім значень z (26, 28, 32, 36, 40, 44, 48) та чотири значення u 2 (1/8; 1/4; 1/2; 1), можна отримати 28 значень кроків різьблення в межах від Р = 26/4 · 1/8 = 0,8125 до P 28 = 48/4 = 12 мм. З 28 тільки 19 значень кроків збігаються з метричними різьбами, що застосовуються.
Налаштування механізму подач для нарізування модульних різьблень проводиться так само, як для нарізування метричних, тільки блоки гітари Б8 і Б9 встановлюються так, щоб передача здійснювалася через колеса з передатним відношенням u' VIII-IX = (64/95) · (95/97) , При цьому отримуваний крок різьблення змінюється в число разів, що дорівнює (64/95 · 95/97): (42/95 · 95/50) = 64/97 · 50/42 = 3200 / 4074 = 0,78552. Тому одержуваний крок модульної різьби P' = 0,78552 · zu 2 / 4, а модуль m = P / / π = 0,78552 / 3,14 · zu 2 / 4 = 1 / 4 · zu 2 / 4.
Налаштування механізму подач для нарізування цих різьблень проводиться так само, як і на метричні, але при цьому включається тільки муфта Мф5, а всі інші вимикаються. Внаслідок цього блок Б10 зубчастиних коліс стає веденим.
Рівняння балансу кінематичного ланцюга у разі запишеться так:

Дюймові різьблення характеризуються кроком, а числом ниток До однією дюйм довжини різьблення. Число ниток знаходять із формули:

Підставляючи у формулу сім значень z і чотири значення u 2 отримують 28 різних значень До, з яких 20 стандартних значень.
При нарізанні різьблення живлення користуються таким же кінематичним ланцюгом, як і при нарізанні дюймових різьблень, тільки на гітару замість коліс 42/95 · 95/50 встановлюють змінні зубчасті колеса 64/95 · 95/97. При цьому отриманий крок різьблення змінюється в 0,78552 рази і дорівнює Р = 0,78552 · 16 · 25,4 (u 2 / z), а К = z / 0,78552 · 16.
Відомо, що між питчем Dp і числом ниток До однією дюйм існує співвідношення Dр = Кπ. Тому Dp = Кπ = πz / 0,78552 · 16u 2 = 4z/16u 2 = z/4u 2 .
Всі кінематичні ланцюги, написані раніше, належали до різьблення з нормальним кроком.
Для отримання збільшеного кроку різьблення шестерня z=46 блоку Б6 вводиться в зачеплення з шестернею z=45 вала III. У цьому випадку передача від валу VI на вал VII здійснюється через вали V, IV та III з наступними передатними відносинами:
а) при частоті обертання шпинделя в діапазоні n = 12,5...40 об/хв (u перебору = 1/16)

б) при частоті обертання шпинделя в діапазоні n = 50..160 об/хв (u перебору = 1/4)

В результаті одержуваний крок метричних і модульних різьблень збільшується в 8 або 32 рази, а число ниток на один дюйм і пітч зменшується в той же раз.
При нарізанні різьблень зі збільшеним кроком більш високою частотою обертання шпинделя ніж 160 об/хв не користуються.
При нарізуванні цих різьблення включаються муфти Мф2, Мф4, Мф5. В цьому випадку передача здійснюється від шпинделя через змінні шестерні гітари u VIII-IX = a/b·c/d на вал IX і далі безпосередньо на ходовий гвинт XV.
Рівняння балансу гвинторізного кінематичного ланцюга у разі запишеться так:

З рівняння отримуємо формули для підбору чисел зубів змінних коліс гітари:
для метричного різьблення: a/b·c/d = P/12 ;
для модульної різьби Р=πт отримуємо a/b·c/d = πт/12 = 11m/42 ;
для дюймового різьблення P = 25,4 / До отримуємо a / b · c / d = 25,4/12К = 127/60К ;
для харчової різьби P = 25,4 π / Dp отримуємо a / b · c / d = 25,4 π / 12Dp = 127 · 11 / 30 · 7Dp .
Комплект змінних зубчастиних коліс, необхідних для нарізування точних різьблень, поставляється до верстата 1К62 за особливим замовленням.
Після налагодження верстата, закріплення оброблюваної деталі, установки та закріплення різця, включають верстат і починають нарізати різьблення, трохи поглибивши різець у метал. На поверхні деталі виходить гвинтова ризику, крок якої перевіряють лінійкою, штангенциркулем або різьбоміром. Перед початком наступного проходу різець поглиблюють лімбу на необхідну величину.
Нарізати профіль трикутного різьблення різцями можна наступними способами.
Перший спосіб .

Різець встановлюють перпендикулярно до осі деталі (рис. 224, а), користуючись шаблоном, як показано на рис. 219.
Перед кожним новим проходом різець виводять із канавки, переміщуючи поперечний супорт на себе. Потім дають верстату зворотний хід, повертаючи поздовжні санки супорта в початкове положення. Після повернення поздовжніх санок різцю дають поперечне переміщення (рис. 224, б). Відлік ведуть по лімбу ггвинта поперечного подавання. Так повторюють всі ці прийоми доти, доки різьблення не буде нарізане на повну глибину профілю.
Як видно із рис. 224 б, різьблення в цьому випадку нарізається рівномірно обома ріжучими кромками. При чорновому нарізанні товсті стружки, що відокремлюються, заважають один одному, тому можливе заїдання різця і отримання шорсткої, надірваної поверхні різьблення; при чистовому нарізуванні, коли знімається невелика стружка, поверхня виходить чистою.
Такий спосіб подачі різця застосовується для нарізування різьблення з кроком Sp менше 2 мм; як на чорнових, так і на чистових проходах різець подається за кожен прохід на глибину t = 0,05...0,2 мм.
Другий спосіб . Якщо крок різьби, що нарізається, більше 2 мм, різьблення нарізають особливим різцем (рис. 225, а). Його встановлюють у верхній частинині супорта, повернутої на кут α/2 дорівнює половині кута профілю різьби, і подають бічним врізанням, переміщуючи верхню частинину супорта під кутом до осі деталі в напрямку, вказаному стрілкою. При такій установці різання різання здійснюється в основному лівою ріжучою кромкою (рис. 225, б); права ріжуча кромка знімає дуже тонку стружку, тому зношується повільно.

Після кожного проходу різець виводять із канавки, переміщуючи поперечний супорт на себе (верхню частинину супорта не чіпають). Потім включають зворотний хід верстата і повертають поздовжні санки супорта в їх початкове положення. Перед кожним наступним проходом подають поперечний супорт в колишнє положення (по лімбу або упору). Поглиблюють різець переміщенням верхньої частинини супорта по лімбу.
Для більш точного різьблення остаточне нарізування виконують за першим способом (див. рис. 224).
Канавки для виходу різьбового різця. При нарізанні як зовнішнього, так і внутрішнього різьблення деталей з уступами необхідно передбачати канавки для виходу різця, щоб захистити його від поломки (рис. 226 і 227). Глибина канавки повинна бути трохи більша за глибину різьблення, а ширина канавки повинна дорівнювати 2—3 крокам різьблення.

Нарізання правої та лівої різьблення. При нарізанні правого різьблення ходовий гвинт і шпиндель обертаються проти годинникової стрілки, а супорт з різцем переміщаються від задньої бабки до передньої (див. рис. 193 а). При нарізанні лівого різьблення трензель повинен бути встановлений так, щоб ходовий гвинт обертався у зворотному напрямку, тобто за годинниковою стрілкою при звичайному напрямку обертання шпинделя. При цьому супорт повинен переміщатися до задньої бабці (див. рис. 193 б), отже, нарізання лівої різьби повинно починатися з лівого кінця деталі, тобто найближчого до передньої бабці.
Охолодження. Застосування змащувальних та охолоджуючих рідин при нарізанні різьблення є обов'язковим. Рясне охолодження оберігає різець від затуплення та сприяє отриманню чистих бічних поверхонь різьблення. Як охолоджуючі рідини при нарізанні різьблення у сталі та латуні рекомендуються емульсії, сульфофрезол (дає кращі результати); чавунні деталі можна нарізати всуху або з гасом.