metalinstryment.com
Довідник по металорізальних верстатів та пресовому обладнанні

5Б310П Верстат зубофрезерный вертикальний напівавтомат
схеми, опис, характеристики

5Б310П Загальний вигляд  зубофрезерного верстата







Відомості про виробника зубофрезерного напівавтомату 5Б310П

Производитель вертикального зубофрезерного напівавтомату 5Б310П Вильнюсский станкостроительный завод им. 40-летия Октября.

Завод специализировался на выпуске зубообрабатывающего оборудования для обробки зубьев цилиндрических зубчатых колес і шлицев в условиях как единичного, так і массового производства. Завод выпускал, также, серию малогабаритных прецизионных токарных верстатів з ЧПУ 1700ВФ30, 1700СФ30, 17М00ВФ30.





Продукция вильнюсского станкостроительного завода им. 40-летия Октября


5Б310П Верстат вертикальний зубофрезерный універсальний напівавтомат. Назначение і область применения

Легкий зубофрезерный верстат напівавтомат 5Б310П підвищеної точності предназначен для нарізання зубьев прямозубых і косозубых зубчатых колес, а также червячных колес і других обкатных зубчатых профилей в условиях мелкосерийного, серийного і массового производства.

На напівавтоматі производится обработка цилиндрических колес з применением всех комбинаций радиальной, осевой или диагональной подачі в один или два прохода і червячных колес з применением радиальной подачі з выхаживанием или тангенциальной подачі в наладочном или напівавтоматическом режиме.

Принцип роботи і особливості конструкції верстата 5Б310П

Полуавтомат 5Б310П имеет вертикальную компоновку (с вертикальной осью вироби) і подвижным столом для изменения межцентрового расстояния. Направляющие радиального і осьового переміщення фрезы расположены на жесткой станине, имеющей увеличенные длину і площадь. Радиальные і тангенциальные направляющие снабжены гідрозажимами, что позволяет вести обработку на повышенных режимах різання.

Для налаштування осевых і тангенциальных подач предусмотрена быстропереналаживаемая коробка подач. Налаштування радиальных подач — бесступенчатая гідравлическая. Полуавтомат поставляется в трех исполнениях:

Полуавтомат изготавливался в четырех варіантах комплектации:

По согласованию з заводом-изготовителем по специальному заказу предусматриваются наступні исполнения:

Класс точності П по ГОСТ 8—82Е.

Разработчик — Вильнюсский станкостроительный завод им. 40-летия Октября.


Зубофрезерные верстати, работающие по методу огибания (обкатки) червячной фрезой

Зубофрезерные верстати, работающие по методу огибания

Рис. 1. Зубофрезерные верстати, работающие по методу огибания

Принципиальная схема налаштування зубофрезерного верстата

Рис. 2. Принципиальная схема налаштування зубофрезерного верстата

Структурна схема зубофрезерного верстата

Рис. 3. Структурна схема зубофрезерного верстата

Зубофрезерные верстати, работающие по методу огибания, предназначены для обробки цилиндрических колес з прямыми і косыми зубьями, а также червячных колес (см. рис. 3).

При нарезании зубьев обертання фрезы і заготовки должны быть согласованы между собой. Чтобы обеспечить ето условие, в станке имеется специальная ланцюг, принципова схема налаштування которой показана на рис. 2. Если колесо имеет z зубьев і совершит пк оборотів, а фреза за ето время сделает nф оборотів, то передаточное отношение ix между числом оборотів колеса і фрезы.

Рассмотрим формообразующие руху верстата для образования профиля зубьев, для чего обратимся к структурной схеме верстата (рис. 3). При нарезании прямозубого цилиндрического колеса необходимо осуществить главное вращательное рух фрезы В1. регулируемое органом налаштування iv вращение заготовки B2, согласованное з вращением фрезы Вх; перемещение суппорта з фрезой параллельно оси стола П, настраиваемое органом i3. Суппорт може перемещаться или сверху вниз, или знизу вверх. При перемещении суппорта сверху вниз осуществляется встречное фрезерование, В етом случае при вращении фрезы зубья движутся навстречу срезаемому слою металла. При перемещении суппорта знизу вверх происходит попутное фрезерование. В етом случае зубья фрезы движутся попутно со срезаемым слоем металла. При попутном фрезеровании допускается увеличение скорости різання на 20—25% по сравнению со встречным методом.

При нарезании косозубых колес к рассмотренным выше формообразующим рухум добавляется рух для образования винтовой линии (диференціальная ланцюг). Это рух состоит из обертання заготовки В3 і поступательного переміщення П фрезы. Следовательно, одно исполнительное звено — стол верстата — должно мати два обертання В2 і В3 з независимыми скоростями, что возможно при наличии суммирующего механізма.


Габарити робочого простору зубофрезерного напівавтомату 5Б310П

5Б310П Верстат зубофрезерный. Габарити робочого простору

Габарити робочого простору зубофрезерного напівавтомату 5Б310П

Габарит робочого простору зубофрезерного верстата напівавтомату 5Б310П. Дивитись у збільшеному масштабі



Посадочные і присоединительные базы напівавтомату 5Б310П

5Б310П Посадочные і присоединительные базы зубофрезерного напівавтомату 5Б310П

Посадочные і присоединительные базы напівавтомату 5Б310П

Посадочные і присоединительные базы напівавтомату 5Б310П. Дивитись у збільшеному масштабі



Загальний вигляд і общее пристрій верстата 5Б310П

5Б310П напівавтомат зубофрезерный. Загальний вигляд

Фото зубофрезерного напівавтомату 5Б310П

Фото зубофрезерного напівавтомату 5Б310П. Дивитись у збільшеному масштабі



5Б310П напівавтомат зубофрезерный. Загальний вигляд

Фото зубофрезерного напівавтомату 5Б310П

Фото зубофрезерного напівавтомату 5Б310П. Дивитись у збільшеному масштабі



5Б310П напівавтомат зубофрезерный. Загальний вигляд

Фото зубофрезерного напівавтомату 5Б310П

Фото зубофрезерного напівавтомату 5Б310П. Дивитись у збільшеному масштабі



5Б310П напівавтомат зубофрезерный. Загальний вигляд

Фото зубофрезерного напівавтомату 5Б310П

Фото зубофрезерного напівавтомату 5Б310П. Дивитись у збільшеному масштабі



5Б310П напівавтомат зубофрезерный. Загальний вигляд

Фото зубофрезерного напівавтомату 5Б310П



5Б310П напівавтомат зубофрезерный. Загальний вигляд

Фото зубофрезерного напівавтомату 5Б310П







Схема кінематична зубофрезерного верстата 5Б310п

Схема кінематична зубофрезерного верстата 5Б310п

Кінематична схема зубофрезерного напівавтомату 5Б310п

Схема кінематична зубофрезерного верстата 5Б310п. Дивитись у збільшеному масштабі






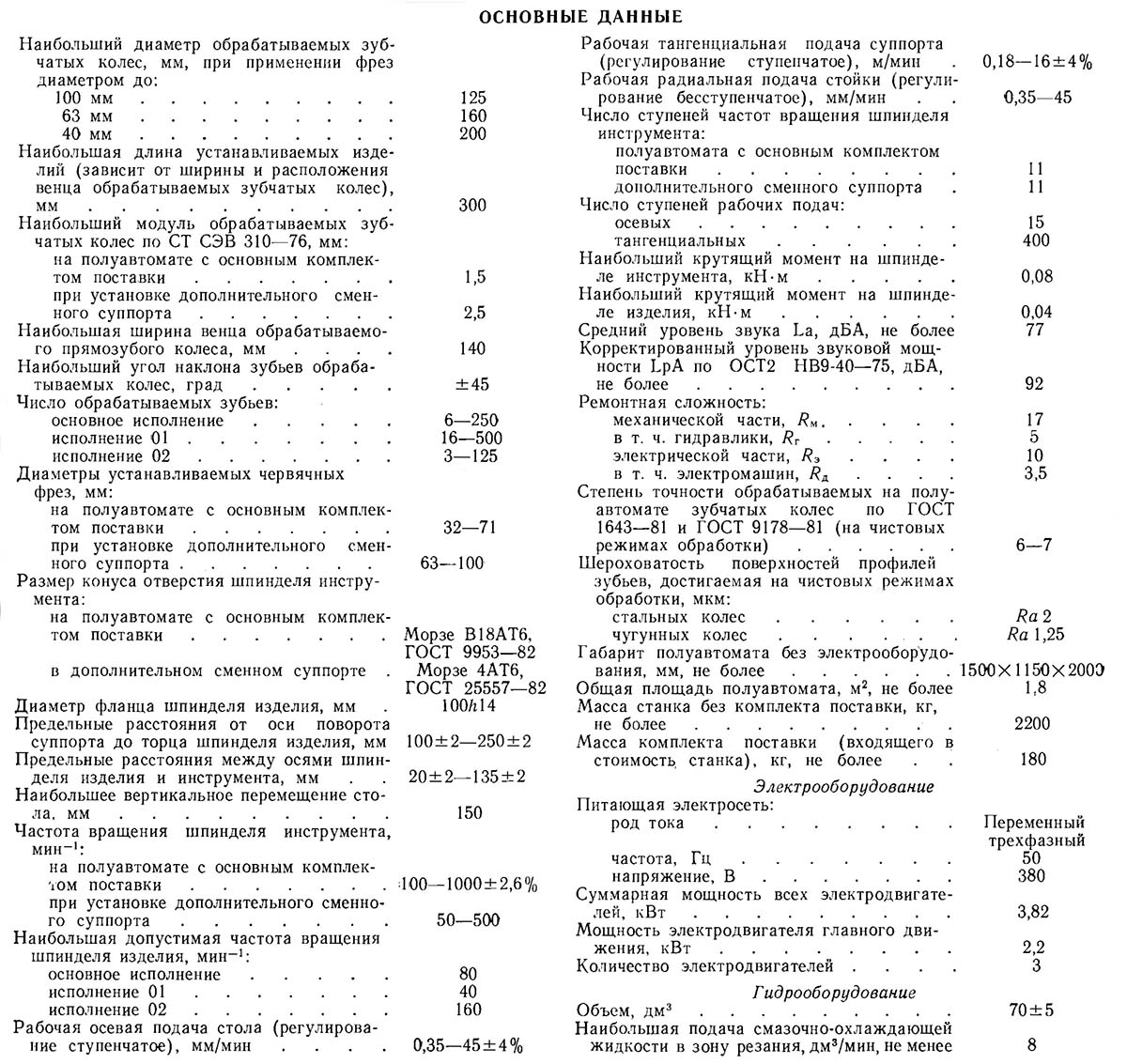
Технічні характеристики зубофрезерного верстата 5Б310П

Технічні характеристики зубофрезерного верстата 5Б310П

Технічні характеристики зубофрезерного верстата 5Б310П

Технічні характеристики зубофрезерного верстата 5Б310П. Дивитись у збільшеному масштабі



Наименование параметра 5К310 5Б310П
Основні параметри верстата
Наибольший модуль нарезаемого колеса (с дополнительным сменным суппортом), мм 4 1,5 (2,5)
Наибольший диаметр нарезаемых цилиндрических прямозубых колес (0°) з задньої стойкой (с контрподдержкой), мм 200 200
Наибольший диаметр нарезаемых цилиндрических прямозубых колес (0°) з отведенной задньої стойкой (без контрподдержки), мм
Наибольший диаметр нарезаемых цилиндрических косозубых колес (30°), мм
Наибольший диаметр нарезаемых цилиндрических косозубых колес (45°), мм
Наибольший угол наклона нарезаемых зубъев обрабатываемых колес, град ±60
Наибольший диаметр червячных нарезаемых колес, мм
Наибольшая длина венца нарезаемых цилиндрических прямозубых колес (0°), мм 140
Наибольшая длина венца нарезаемых цилиндрических косозубых колес (30°), мм
Наибольшая длина венца нарезаемых цилиндрических косозубых колес (45°), мм
Число нарезаемых зубьев (виконання 01, виконання 02) 6..250 (16..500, 3..125)
Расстояние от оси шпинделя до направляючих суппорта, мм
Стол
Диаметр стола, мм 200
Расстояние между осями стола і фрезы, мм 45..180
Расстояние от плоскости стола до оси фрезы, мм 145..365
Ускоренное перемещение стола, мм/мин 130
Ручное перемещение стола на одно деление лимба, мм 0,1
Перемещение упора остановки стола на одно деление лимба, мм 0,02
Суппорт
Наибольшее перемещение фрезерного суппорта, мм 220
Ускоренное перемещение суппорта, мм/мин 280
Наибольший диаметр режущего инструмента (червячной фрезы), мм 125
Наибольшая длина режущего инструмента (червячной фрезы), мм 125
Диаметры фрезерных оправок, мм
Ускоренное перемещение шпинделя вдоль оси, мм/мин нет
Поворот суппорта на одно деление шкалы линейки, град
Поворот суппорта на одно деление шкалы нониуса, мин 10`
Конусное отверстие шпинделя Морзе 4
Наибольшее осевое перемещение фрезы, мм 50
Наибольшая величина вертикального переміщення суппорта при угле наклона 0°, мм 220
Наибольшая величина вертикального переміщення суппорта при угле наклона 30°, мм 170
Наибольшая величина вертикального переміщення суппорта при угле наклона 45°, мм 150
Наибольшая величина вертикального переміщення суппорта при угле наклона 60°, мм 30..105
Механіка верстата
Пределы оборотів фрезы, об/мин 63..400
Число ступеней оборотів фрезы 9
Пределы продольных (вертикальних) подач, мм/об 0,63..4
Пределы радиальных подач, мм/об 0,315..2
Пределы тангенциальных подач, мм/об
Число ступеней продольных (вертикальних) подач 9
Число ступеней радиальных подач 9
Привід і електрообладнання верстата
Количество електродвигателей на станке 5
Електродвигун головного привода, кВт 4
Електродвигун ускоренного ходу, кВт 2
Електродвигун приводу шагового руху, кВт 0,27
Електродвигун приводу гідронасоса, кВт 1,1
Електродвигун насоса охлаждения, кВт 0,12
Суммарная мощность електродвигателей, кВт 7,49
Габаритные розміри і масса верстата
Габаритные розміри верстата (длина х ширина х высота), мм 2000 х 1300 х 2040
Масса верстата з електрообладнанням і охолодженням, кг 4350

    Список литературы:

  1. Зубофрезерный універсальний напівавтомат підвищеної точності 5Б310П. Руководство по експлуатации напівавтомату 5Б310П.00.000 РЭ, 1989

  2. Колев Н.С. Металлорежущие верстати.
  3. Гальперин Е.И. Наладка зуборезных верстатів, 1960.
  4. Козлов Д.Н. Зуборезные роботи, 1971.
  5. Лоскутов В.В., Ничков А.Г. Зубообрабатывающие верстати, 1978.
  6. Малахов Я.А. Зубообрабатывающие і резьбофрезерные верстати і их наладка, 1972.
  7. Мильштейн М.З. Нарезание зубчатых колес, 1972.
  8. Овумян Г.Г., Адам А.И. Справочник зубореза, 1983.
  9. Птицин Г.А., Кокичев В.Н. Зуборезные верстати, 1957.
  10. Сильвестров Б.Н., Захаров И.Д. Конструкція і наладка зуборезных і резьбофрезерных верстатів, 1979.
  11. Шавлюга Н.И. Расчет і примеры наладок зубофрезерных і зубодолбежных верстатів, 1978.
  12. Руководящий материал для конструкторов, проектирующих технологическую оснастку. Основні данные і посадочные места металлорежущих верстатів. НИИМАШ, 1968.









Заказать

Кто владеет информацией - тот владеет миром.

Натан Ротшильд