Виробник токарно-револьверного верстата моделі 1Д325п - Новочеркаський верстатобудівний завод , заснований у 1938 році.
Токарно-револьверний верстат 1Д325П призначений для обробки деталей з каліброваного прутка, що закріплюється в цангу, або штучних заготовок, що закріплюються в патроні, в умовах серійного та дрібносерійного виробництва.
На верстаті 1Д325П можна проводити обточування, розточування, свердління, зенкерування, розгортання, нарізання різьблення мітчиками і плашками, підрізування, прорізання та ін.
При оснащенні верстата 1Д325П додатковими пристроями можна обробляти конуси, фасонні поверхні та нарізати різьблення накидним різьбонарізним пристроєм.
Верстат 1Д325П має шістнадцятипозиційну револьверну головку з горизонтальною віссю обертання. При повороті револьверної головки з однієї позиції в іншу відбувається автоматичне перемикання частоти обертання шпинделя і подач відповідно до програмою, заданої на набірному полі пульта керування. Керування переміщеннями револьверного супорта здійснюється штурвалом на фартуху револьверного супорта.
У верстаті 1Д325П можливе ручне перемикання частот обертання шпинделя та подач, що особливо зручно при налагодженні та обробці дрібних партій деталей.
Клас точності верстата П згідно з ГОСТ 8-77.
Шорсткість обробленої поверхні Ra 2,5 мкм.
Категорія якості – перша.
Точність обробки:
Середній рівень звуку LA не повинен перевищувати 82 дБа.
Коригований рівень звукової потужності LpA не повинен перевищувати 96 дБа.
Середньоквадратичні значення віброшвидкості не повинні перевищувати наступних значень:
Розробник - Новочеркаський верстатобудівний завод.

Габарит робочого простору верстата 1д325п
Габарит робочого простору верстата 1д325п. Завантажити у збільшеному масштабі

Посадочні та приєднувальні бази верстата 1д325п
Посадочні та приєднувальні бази верстата 1д325п. Завантажити у збільшеному масштабі

Фото токарно-револьверного верстата 1д325п

Фото токарно-револьверного верстата 1д325п
Фото токарно-револьверного верстата 1д325п. Завантажити у збільшеному масштабі

Фото токарно-револьверного верстата 1д325п
Фото токарно-револьверного верстата 1д325п. Завантажити у збільшеному масштабі

Фото токарно-револьверного верстата 1д325п
Фото токарно-револьверного верстата 1д325п. Завантажити у збільшеному масштабі

Розташування основних частинин револьверного верстата 1д325п
Розташування основних частинин револьверного верстата 1д325п. Завантажити у збільшеному масштабі

Розташування органів керування токарно-револьверним верстатом 1Д325п

Пульт керування токарно-револьверним верстатом 1Д325п
Пульт керування токарно-револьверним верстатом 1Д325п. Завантажити у збільшеному масштабі

Таблиця графічних символів верстата 1Д325п

Кінематична схема токарно-револьверного верстата 1д325п
Кінематична схема токарно-револьверного верстата 1Д325п. Скачать в увеличенном масштабе
Обертання шпинделя здійснюється від деухскоростного електродвигуна потужність 3,2/5,3 кВт із частотою обертання 750/1495, через коробку швидкостей. Коробка швидкостей забезпечує отримання 2-х автоматично перемикаються швидкостей обертання шпинделя, перемикання двошвидкісного електродвигуна дає 2 ряди швидкостей. Таким чином, шпиндель має чотири автоматично перемикаються швидкості. У верстаті є чотири змінні шківи і за рахунок комбінації шківів отримуємо 24 швидкості обертання шпинделя.
Рухи у верстаті:
На верстаті встановлено три трифазні короткозамкнені асинхронні електродвигуни (рис. 20) із загальною потужністю 7,125 кВт (при частоті 60 Гц потужність 6,725 кВт).
На верстаті можуть застосовуватися напруги змінного струму частотою 50 або 60 Гц для ланцюгів:
На вимогу замовника верстати можуть виготовлятися на будь-яку з перерахованих вище величин напруги.
Для живлення електромагнітних муфт застосований постійний струм напругою 24, одержуваний від селенового випрямляча.
Електроустаткування верстата за родом захисту від впливу навколишнього середовища виготовляється у звичайному виконанні. На вимогу замовника електрообладнання верстата може бути виконане у тропічному виконанні.

Електрична схема токарно-револьверного верстата 1д325п
Електрична схема токарно-револьверного верстата 1Д325п. Скачать в увеличенном масштабе

Електрична схема токарно-револьверного верстата 1д325п
Електрична схема токарно-револьверного верстата 1Д325п. Скачать в увеличенном масштабе

Настановне креслення токарно-револьверного верстата 1д325п
Настановне креслення токарно-револьверного верстата 1Д325п. Скачать в увеличенном масштабе

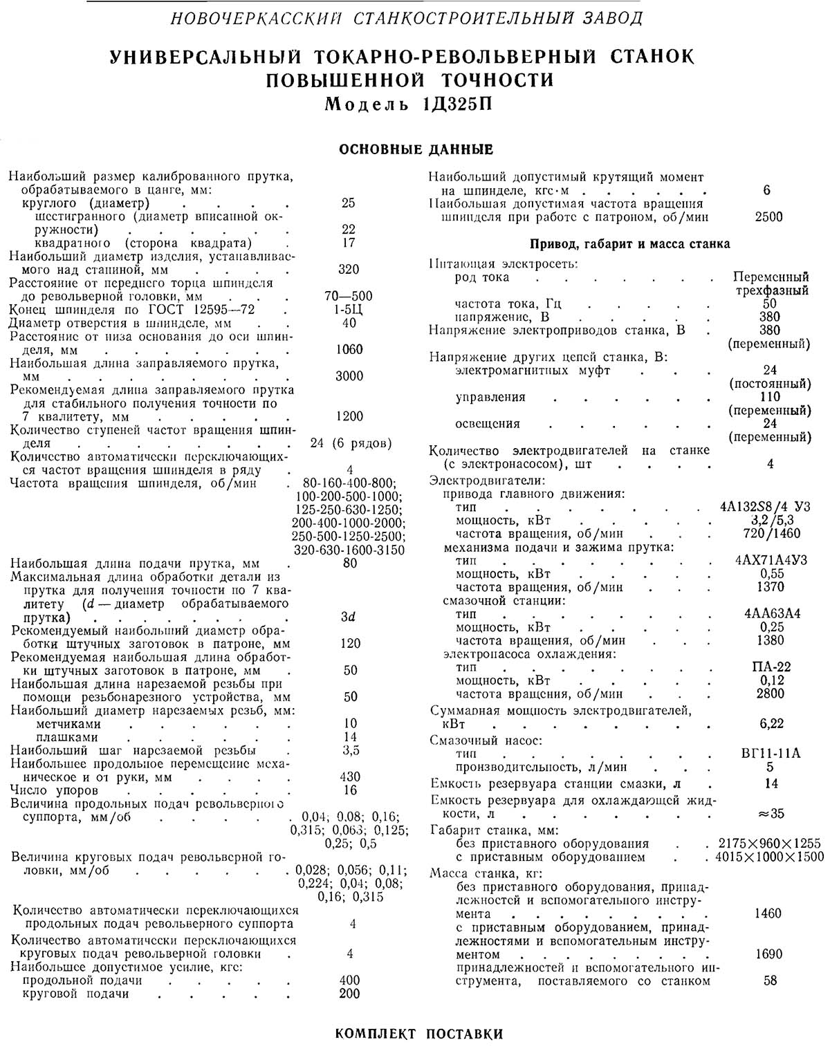
Технічні характеристики токарно-револьверного верстата 1Д325п
Технічні характеристики токарно-револьверного верстата 1Д325п. Скачать в увеличенном масштабе
| Найменування параметру | 1H325 | 1G325 | 1D325p |
|---|---|---|---|
| Основні параметри верстата | |||
| Клас точності верстата Н згідно з ГОСТ 8-71 | Н | Н | П |
| Найбільший діаметр виробу, що обробляється над станиною, мм | 320 | 320 | 320 |
| Найбільший діаметр круглого прутка, що обробляється, на передньому затиску (в цангу), мм | 25 | 25 | 25 |
| Найбільша сторона квадрата обробленого прутка, мм | 17 | 17 | 17 |
| Найбільший розмір шестигранного прутка (діаметр вписаного кола), мм | 22 | 22 | 22 |
| Найбільший діаметр виробу, що обробляється в патроні, мм | 120 | ||
| Найбільша довжина виробу, що обробляється в патроні, мм | 125 | ||
| Найбільша рекомендована довжина виробу, що обробляється в патроні, мм | 50 | ||
| Найбільша довжина подачі дроту, мм | 0..80 | 0..80 | |
| Найбільша довжина обробки прутка в цангу або в патроні, мм | 140 | 140 | 100 |
| Найбільша довжина прутка, що обробляється в затискній і трубі, що подає, мм | 3000 | 3000 | |
| Рекомендована довжина прутка, що обробляється в затискній і трубі, що подає, мм | 1200 | ||
| Діаметр отвору в шпинделі, мм | 40 | 40 | |
| Висота центрів, мм | 180 | 170 | |
| Відстань від торця шпинделя до площини револьверної головки, мм | 70..400 | 70..500 | |
| Найбільший діаметр різьблень, що нарізаються плашками по сталі середньої твердості, мм | M14 | M14 | |
| Найбільший діаметр різьблень, що нарізаються мітчиками по сталі середньої твердості, мм | M10 | M10 | |
| Найбільша довжина нарізання різьблення по копіру, мм | 50 | 50 | |
| Шпиндель | |||
| Кількість робочих швидкостей шпинделя | 16 | 24 | |
| Кількість швидкостей шпинделя прямих/ зворотних, що автоматично перемикаються. | 4/ 1 | ||
| Межі чисел оборотів шпинделя, об/хв | 80..3150 | 80..3150 | 82..3250 |
| Межі чисел оборотів шпинделя (зворотне обертання), об/хв | 160..630 | ||
| Кінець шпинделя фланцевий згідно з ГОСТ 12595-75. | 2-5C | ||
| Найбільший момент, що крутить, на шпинделі не менше, Нм (кг*м) | 60 | ||
| Подання. Револьверний супорт | |||
| Найбільше переміщення револьверного супорта: поздовжнє (Z), мм/ Кругове, град |
325/360° | 430/360° | |
| Поздовжнє переміщення револьверного супорта за один оберт штурвала, мм | 75 | ||
| Число упорів | 12 | ||
| Кількість поздовжніх подач револьверного супорта | 3 | 8 | |
| Кількість кругових подач револьверного супорта | 3 | 8 | |
| Діапазон швидкостей поздовжніх подач револьверного супорта, мм/про | |||
| Діапазон швидкостей кругових подач револьверного супорта, мм/про | 0,028..0,3 | ||
| Швидке переміщення револьверного супорта, мм/хв. | |||
| Количество инструментов в револьверній головці | 12 | 16 | |
| Диаметр отверстий в револьверній головці, мм | 20Н7, 30Н7 | ||
| Диаметр розположення отверстий для инструмента в револьверній головці, мм | 170 | ||
| Переміщення поздовжнє револьверної головки на один поділ лімба, мм | 0,5 | ||
| Ціна поділу лімба грубої кругової подачі револьверної головки на діаметр виробу, мм | 1 | ||
| Ціна поділу лімба тонкої кругової подачі револьверної головки на діаметр виробу, мм | 0,05 | ||
| Поперечне переміщення головки на радіусі розташування гнізд під інструмент за один оберт лімба при тонкій круговій подачі, мм. | 1,48 | ||
| Найбільше зусилля подачі, допустиме механізмом поздовжньої подачі, Н | 4000 | ||
| Найбільше зусилля подачі, допустиме механізмом кругової подачі, Н | 4000 | ||
| Електроустаткування верстата | |||
| Кількість електродвигунів на верстаті, кВт | 3 | 4 | |
| Електродвигун головного приводу, кВт (об/хв) | 2,6/ 3,0 (1400/ 2800) | 3,2/ 5,3 (750/ 1495) | |
| Електродвигун гідроприводу (затискач та подача прутка), кВт (об/хв) | 0,6 (1350) | 0,55 (1370) | |
| Електродвигун мастильної станції, кВт (об/хв) | немає | 0,25 (1380) | |
| Електродвигун насоса охолодження, кВт (об/хв) | 0,125 (2800) | 0,14 (2800) | |
| Габарити та маса верстата | |||
| Габаритні розміри верстата (довжина, ширина, висота), мм | 3915_925_1555 | 3980 х 1000 х 1555 | 2283 х 1035 х 1255 |
| Маса верстата, кг | 1300 | 1300 | 1635 рік |