metalinstryment.com
Довідник по металорізальних верстатів та пресовому обладнанні

525 Верстат зуборезный для нарізання для нарізання спиральных конических колес
схеми, опис, характеристики

525 Загальний вигляд  зубострогального верстата







Відомості про виробника зуборезного напівавтомату 525

Производитель зуборезного верстата - напівавтомату 525 Московский завод координатно-расточных верстатів «МЗКРС», основанный в 1942 году і ЭНИМС Экспериментальный научно-исследовательский институт металлорежущих верстатів, основанный 19 мая 1933 г.





Верстати, выпускаемые Московским заводом координатно-расточных верстатів МЗКРС


525 Верстат зуборезный для нарізання спиральных конических колес. Назначение і область применения

Зуборезный верстат 525 производился серийно з 1956 года.

Полуавтомат 525 предназначается для чернового і чистового нарізання всех типов конических колес з круговыми зубьями, гипоидных колес і шестерен полуобкатных передач на скоростных режимах з високою степенью точності обробки.

Верстат изготовляется в двух исполнениях: з механізмом модификации обката і без него. Пристрій для модификации обката служит для небольшого изменения формы профиля зубьев, исправления угла зацепления или диагонального контакта.

На станке можно нарезать:

  1. Конические колеса со спиральными зубьями;
  2. Гипоидные колеса;
  3. Конические колеса з непрямым углом между осями;
  4. Шестерни для полуобкатных передач.

Наилучшие результаты верстат 525 дает в условиях серийного производства от крупных колес диаметром до 500 мм і модулем до 10 мм - до мелких зубчатых колес диаметром до 20-25 мм мм і модулем 2,5 мм.

При етом требуется минимальный комплект резцовых головок, количество которых при при одностороннем однономерном методе нарізання составляет 6 штук.

При массовом производстве рекомендуется применять особый комплект из 4-5 штук резцовых головок для каждой нарезаемой пары, что значительно повышает производительность і улучшает качество нарезаемых колес.

Принцип роботи верстата 525

Верстат 525 работает как по методу обкатки, так і по методу врізання.

Черновое нарезание зубьев производят методом врізання, при котором образование зубьев осуществляется путем постепенного приближения заготовки к инструменту. В етом случае величина обкатки берется очень малой, необходимой только для того, чтобы після каждого цикла инструмент попадал в соседнюю впадину. Быстрый подвод стола заменяется медленной рабочей подачей, при которой режущий инструмент (резцовая головка) постепенно врезается в заготовку. По достижении полной глубины -впадины стол быстро отводится і обкатная люлька поворачивается в обратную сторону.

Метод обкатки используется при чистовом нарезании. При етом необходимо наличие двух движений; руху різання і руху обкатки. Обкаточное рух продолжается в течение всего часу, необходимого для обробки одной впадины. После етого заготовка отводится от инструмента, а люлька, несущая резцовую головку з инструментом, быстро поворачивается в обратном направлении до исходного положения. Заготовка при етом продолжает вращаться в ту же сторону, что і во время обробки. Благодаря етому за время холостого ходу люльки заготовка успевает повернуться на определенное число зубьев.

Для нарізання на заготовке всех зубьев необходимо, чтобы они при каждом цикле поворачивались на целое число зубьев, не имеющее общих множителей з числом зубьев нарезаемого колеса. При несоблюдении етого условия инструмент після каждого цикла не будет попадать в новую впадину.

По окончании обробки всех впадин верстат автоматически останавливается.

Наличие механізма модификации обкатки позволяет производить нарезание шестерен для полуобкатных передач, а также шестерен з большой длиной образующей начального конуса.

Особливості конструкції верстата 525

Отличительной особенностью напівавтомату 525 является отсутствие реверсирования заготовки, непрерывный процесс деления заготовки і реверсирование обкатной люльки з помощью составного колеса.

Время холостого ходу не зависит от продолжительности цикла обробки.

В станке моделі 525 холостой ход може осуществляться з двумя скоростями; (при нарезании шестерни з z≤115 продолжительность холостого ходу составляет 5 сек/зуб, при нарезании шестерни з z≥16 — 2,5 сек/зуб.

Перемещение стола з обрабатываемой заготовкой, крепление заготовки на оправке в шпинделе бабки вироби і переключение фрикционной муфты осуществляется гідроприводом.


Список литературы для налаштування верстата

  1. Верстат для нарізання спиральнозубых конических колес моделі 525. Руководство к верстату, ЭНИМС, МЗКРС 1956 год.
  2. Инструкция по расчету наладочных установок зуборезных верстатів моделі 525 і 528 для нарізання конических колес со спиральными зубьями, ЭНИМС, МЗКРС.
  3. Руковдство по расчету геометрических размеров гипоидных зубчатых колес і наладок для их нарізання на верстатах моделей 525, 528с, 5а27с1, Саратовский завод тяжелых зуборезных верстатів, 1967 год.
  4. Руковдство по расчету наладок верстатів 525, 528с і 5а27с4п для нарізання конических колес методом обкатки, Саратовский завод тяжелых зуборезных верстатів, 1969 год.

Верстати для нарізання конических колес з круговыми зубьями

Конические шестерни передают крутящий момент в механізмах, где валы соединяются между собой под углом 90 градусов. Это могут быть автомобильные диференціалы, редукторы, дробилки і приводы.

При обработке конических колес з круговыми зубьями в качестве производящего колеса принимают плоское колесо 1, зубья которого направлены по дуге окружности радиуса r (рис. 136). Заготовка 2 в процессе обробки обкатывается з производящим колесом 1, зубья которого воспроизводятся резцовой головкой 3, вращающейся вокруг точки О1. Профиль резцов соответствует профилю зубьев производящего колеса. Проходя на участке А А 1 они имитируют один зуб производящего колеса.


Схема нарізання колес з круговыми зубьями

Схема нарізання колес з круговыми зубьями


При обработке колес з круговыми зубьями необходимо осуществить наступні формообразующие руху:

Согласованность обертання люльки 1 (рис. 137) і заготовки 2 достигается сменными колесами 4, рассчитываемыми в зависимости от числа зубьев нарезаемого колеса. Вершины резцов 3 должны передвигаться по образующей внутреннего конуса нарезаемого колеса, для етого колесо необходимо установить под углом φ внутреннего конуса к плоскости, в которой передвигаются вершины резцов.


Резцовая головка для нарізання колес з круговыми зубьями

Резцовая головка для нарізання колес з круговыми зубьями


Заготовка должна устанавливаться относительно центра верстата в правильное положение. Центром верстата называется точка, в которой пересекаются горизонтальная ось ОО2 люльки, ось ОО1 шпинделя бабки і вертикальная ось О поворотного стола. Через центр стола должна проходить плоскость, в которой передвигаются вершины резцов головки, і з центром стола должна совпадать вершина начального производящего конуса нарезаемого колеса.

Резцовая головка (рис. 138, а) выполняется в виде диска з пазами, в которые вставляются і крепятся резцы перпендикулярно торцовой плоскости диска. Резцы бывают наружные (рис. 138, б) і внутренние (рис. 138, в).

Кроме того, резцы подразделяются на праворежущие і леворежущие, отличающиеся только расположением режущих кромок.

Конические колеса з круговым зубом нарезаются на верстатах 527, 5П23А, 525, 528С 5А27С1 і др.





Посадочные і присоединительные базы инструмента зуборезного верстата 525

525 Посадочные і присоединительные базы зуборезного напівавтомату 525

Кінець шпинделя инструмента зуборезного верстата 525

Фото зуборезного верстата 525. Дивитись у збільшеному масштабі



525 Посадочные і присоединительные базы зуборезного напівавтомату 525

Кінець шпинделя вироби зуборезного верстата 525


525 Загальний вигляд зуборезного верстата

525 напівавтомат зуборезный. Загальний вигляд

Фото зуборезного верстата 525


Фото зуборезного верстата 525

Фото зуборезного верстата 525

Фото зуборезного верстата 525. Дивитись у збільшеному масштабі



Фото зуборезного верстата 525

Фото зуборезного верстата 525

Фото зуборезного верстата 525. Дивитись у збільшеному масштабі



Керування гідравликой зуборезного верстата 525

Керування гідравликой зуборезного верстата 525. Дивитись у збільшеному масштабі



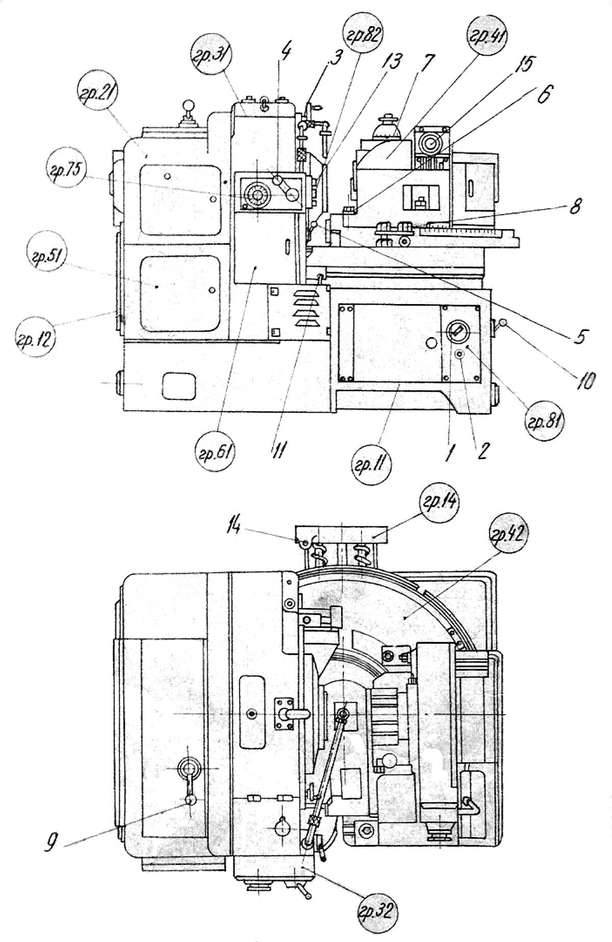
525 Розташування складових частин зуборезного напівавтомату 525

525 Розташування складових частин зуборезного напівавтомату 525

Розташування основних вузлів верстата 525

Розташування складових частин зуборезного напівавтомату 525. Дивитись у збільшеному масштабі



525 Розташування складових частин зуборезного напівавтомату 525

Розташування складових частин верстата 525. Вид сзади


Специфікація органів керування зуборезным напівавтоматом 525

  1. Увімкнення верстата в сеть /главный включатель/;
  2. Кнопка пуска електродвигуна гідравлики;
  3. Маховичок ручного обертання резцовой головки;
  4. Рукоятка відведення і подвода стола і зажиму заготовки;
  5. Кран охлаждения;
  6. Винт зажиму бабки вироби;
  7. Лимб гвинта вертикального смещения бабки вироби;
  8. Винт для точной установки угла внутреннего конуса;
  9. Рукоятка увімкнення ручного приводу і переключения швидкостей ускоренного ходу;
  10. Щуп для контроля уровня масла в резервуаре гідравлики;
  11. Щуп для контроля уровня масла в резервуаре охлаждения;
  12. Пакетный выключатель для виключення електронасоса для роботи без охлаждения;
  13. Кнопочная станція керування работой головного електродвигуна;
  14. Регулятор скорости роботи транспортера стружки;
  15. Лимб і муфта для поворота шпинделя бабки вироби.

Специфікація складових частин зуборезного напівавтомату 525

  1. Станина - 52511001
  2. Ограждение - 5251201
  3. Транспортер стружки - 5251401
  4. Приводная коробка - 52521001
  5. Люлька з корпусом - 52531001
  6. Червяк люльки - 52532001
  7. Бабка вироби - 52541001
  8. Стол - 52542001
  9. Гідрозажим - 52545001
  10. Реверсивный механізм - 52551001
  11. Распределительный механізм - 52552001
  12. Гідрообрудование - 5256101
  13. Счётчик циклов - 5257501
  14. Електроустаткування - 5258101
  15. Пульт керування - 5258201

Принадлежности





Схема кінематична зуборезного верстата 525

Схема кінематична зуборезного верстата 525

Кінематична схема зуборезного верстата 525

1. Кінематична схема зуборезного верстата 525. Дивитись у збільшеному масштабі

2. Кінематична схема зуборезного верстата 525. Дивитись у збільшеному масштабі



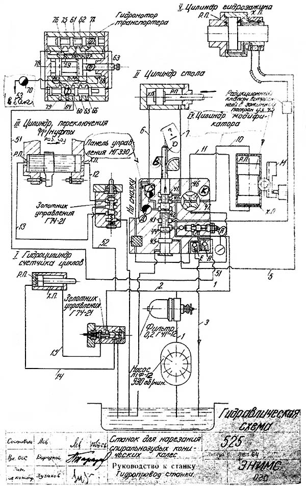
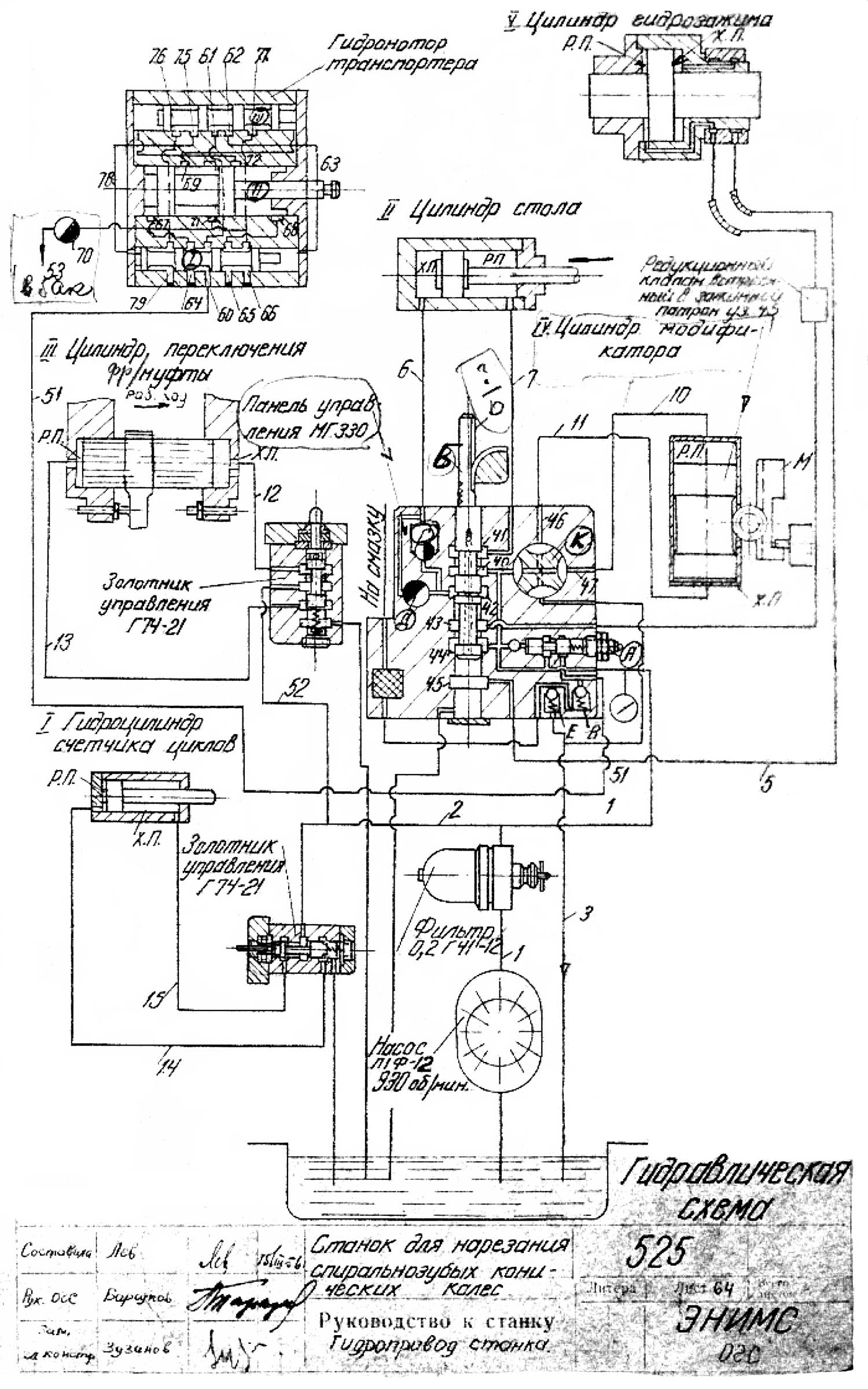
Привід головного руху — вращение шпинделя резцовой головки — осуществляется з помощью електродвигуна 70 і ланцюги передач: зубчасті пары 1—2, 3—4, сменные колеса гітари швидкостей а4—b4, с4—d4, колеса 7—8, 9—10.

Ланцюг обката обеспечивает согласованное вращение люльки і заготовки. Рух от вала IX передається через коническую пару 41—42 зубчатому колесу 43, сцепленному з составным зубчатым колесом (см. также справа). Последнее состоит из участков наружного 65 і внутреннего 66 зацеплений, соединенных между собой полушестернями 63 і 64. Во время контакта колеса 43 з участком внутреннего зацепления происходит рабочий ход верстата, а при сцеплении з остальной частью колеса — холостой ход, в обратном направлении.

При зацеплении колеса 43 з переходными полушестернями оно перемещается вместе з конической парой 41—42. Диск 44 имеет зубчатый венец, сцепляющийся з колесом 45. Последнее сидит на ведущем валу гітари обката a3/b3 · c3/d3, через которую рух передається конической паре 49—50, і всей ланцюги колес, от которой получает вращение червяк 62 люльки.

Колесо 45 зацеплено з валом гітари обката через зубчатую муфту колеса 47. Если післяднюю передвинуть до сцепления з колесом 48, то рух будет передаваться через перебор 45—46, 48—47, при етом редукция будет 1 : 5.

В станке предусмотрена ланцюг модификации обката. Она служит для сообщения червяку люльки 67 осьового переміщення, вызывающего добавочный небольшой поворот люльки з переменной скоростью, необходимый для нарізання конических колес некоторых разновидностей. Механізм модификации обката получает рух от колеса 57, сидящего на валу червяка люльки і сцепляющегося з колесом 58. Далее рух передається через гітару модификации обката і червячную пару 59—60 втулке, на которой ексцентрично установлен ролик, к которому посредством гідравлики прижимается стакан, связанный з червяком люльки. При работе верстата ексцентриковый ролик, совершая планетарное движение, заставляет червяк люльки перемещаться в осевом направлении з переменной скоростью.





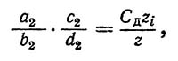
Расчет налаштування верстата 525

Рассмотрим расчет налаштування верстата 525. Исходными данными для расчета налаштування верстата є геометрические параметри конического нарезаемого колеса, а также материал, из которого оно изготовлено.

Налаштування ланцюги головного руху

Эта ланцюг связывает частоти обертання вала електродвигуна і шпинделя резцовой головки:

Формула

Расчетная формула налаштування:

Формула

где nр.г — частота обертання шпинделя резцовой головки в об/мин;

Сτ = 180 — постоянная ланцюги.

Налаштування ланцюги подачі

Гітара подачі связывает вращение електродвигуна з барабаном 69. За время робочого ходу (tp) барабан 69 поворачивается на 4/9 оборота.

Рівняння кинематического баланса:

Формула

Расчетная формула налаштування:

Формула

где Cs — 4,7 — постоянная ланцюги подачі.

Налаштування ланцюги деления

Шпиндель вироби во время роботи верстата непрерывно вращается в одном і том же направлении. Это рух берет начало от барабана 69 і передається на червячное колесо 62. За время пока планшайба, по окончании обробки очередной впадины зуба, вернется в исходное положение, заготовка успеет повернуться на zi зубьев. Следовательно к резцовой головке будет подведена не соседняя впадина, a zi. За один оборот барабана заготовка повернется на — оборота і рівняння кинематического баланса примет вид:

Формула

Расчетная формула налаштування:

Формула

где Сд = 2 — постоянная ланцюги деления.

От числа пропускаемых зубьев zi зависит угол качания люльки. Може, однако, оказаться, что угол качания люльки будет недостаточным или, наоборот, слишком большим. В первом случае отвод стола будет происходить раньше, чем окончится снятие стружки и, таким образом, зубья не получат правильной формы. Изменить угол качания люльки можно путем пересчета сменных колес гітар обкатки і деления, взяв другое число zi. Если угол качания люльки недостаточен, то zi надо увеличить, если же он слишком велик, то уменьшить.

Ланцюг деления при нарезании способом врізання (редукция 1 : 5). За один оборот барабана 69 заготовка повернется на один зуб:

Формула

Расчетная формула налаштування:

Формула

где Сд = 10 — постоянная ланцюги.

Налаштування гітари обката

Ланцюг обката связывает вращение люльки і заготовки:

Формула

Заменяя

Формула

получим формулу налаштування:

Формула

где zπ — число зубьев производящего колеса;

Соб = 3,5 — постоянная ланцюги.

При нарезании зубьев способом врізання гітару обкатки настраивают аналогично, только вместо передачи 33—32 включают пару колес 31—30. При етом расчетная формула будет

Формула

где Соб = 17,5 — постоянная ланцюги.

Нарезание конических колес з круговыми зубьями по способу обката характеризуется длительным циклом обробки. Чтобы избежать гранности зубьев і получить высокий класс чистоты поверхности, приходится увеличивать время огибания. Много часу затрачивается на холостые ходы верстата, отвод инструмента, делительный процесс і др.

На Горьковском автозаводе в массовом производстве спирально-конические і гипоидные передачи нарезаются высокопроизводительным полуобкатным методом. В полуобкатной паре обкаткой нарезается только шестерня, имеющая небольшое число зубьев, а колесо нарезается торцовой резцовой головкой или круговой протяжкой по методу копирования. Зубья колеса полуобкатной пары имеют поетому не винтовые, а конические рабочие поверхности, представляющие собой точные копии производящих поверхностей, описываемых режущими кромками резцов торцовой головки или протяжки.

Профили зубьев полуобкатной пары

На рис. 140 жирными лініями очерчены профили зубьев полуобкатной пары. Для сравнения тонкими лініями показаны профили зубьев обычной пары, которые нарезаются з обката. Такие зубья нарезаются на обычных зуборезных верстатах способом обкатки з коническим или плоским производящим колесом. В післяднем случае применяется модификация обката. Поскольку методом обката нарезается только шестерня, а колесо нарезается методом копирования, ети передачи получили название «полуобкатных», а способ нарізання — полуобкатного.


Гідравлічна схема зуборезного напівавтомату 525

Гідравлічна схема зуборезного напівавтомату 525

Гідравлічна схема зуборезного напівавтомату 525

Гідравлічна схема зуборезного напівавтомату 525. Дивитись у збільшеному масштабі




Верстати для нарізання конических зубчатых колес среднего і крупного модуля

В зависимости от типа зубьев обрабатываемых конических колес различают верстати для нарізання колес з круговыми зубьями і верстати для нарізання прямозубых колес. Технічні данные верстатів, выпускаемых в России, приведены в табл. 4.1, 4.2. По своему основному назначению ети верстати делят на универсальные і специализированные.

Універсальные обеспечивают черновое і чистовое нарезание зубчатых колес методами обкатки і копирования (врізання). Из них можно выделить две основні группы:

  1. Верстати, предназначенные для нарізання зубчатых колес средних размеров (m ≤ 8 мм, ≤ 500 мм):
    5С26В, 5С270П, 5C276П, 5С267П. На конечных звеньях кинематических ланцюгів обкатки (люльке і шпинделе вироби) етих верстатів установлены высокоредукционные гипоидные передачи. Базовой моделью является верстат 5С26В.
  2. Верстати, обеспечивающие обработку крупномодульных зубчатых колес (m ≤ 12 мм, d ≤ 800 мм):
    527В, 5С280П, 5С286П, 5С277П. На конечных звеньях кинематических ланцюгів обкатки етих верстатів установлены червячные передачи і предусмотрено встраивание, при необходимости, механізма модификации обкатки (модификатора). Базовой моделью является верстат 527В.

Верстати обеих групп имеют идентичную кинематическую структуру і є напівавтоматическими. Циклограмма роботи верстатів при нарезании зубчатого колеса показана на рис. 2.7.

Последовательность роботи механізмов напівавтоматов при обработке одного зуба зубчатого колеса методом обкатки показана на рис. 4.1. Цикл нарізання зуба tц складывается из часу на рабочий ход tр, при котором осуществляется обработка, і часу на вспомогательный ход tв, при котором механізмы возвращаются в исходное положение і происходит делительное движение. На рабочем ходу осуществляется рух обкатки з рабочей скоростью (согласованные обертання люльки і шпинделя вироби), а также возврат механізма деления в исходное положение. При етом стол з нарезаемой заготовкой неподвижен і находится в позиции різання. Во время вспомогательного ходу стол отводится в позицию деления, рух обкатки реверсируется, і люлька со шпинделем вироби на ускоренном ходу возвращаются в исходное положение, шпиндель вироби получает от механізма деления делительный поворот, а затем происходят реверсирование руху обкатки на рабочий ход і подвод стола з заготовкой в позицию різання. Далее цикл повторяется. Рух инструмента (рух різання) осуществляется в течение всего цикла обробки.






525 Верстат зуборезный напівавтомат. Відеоролик.



Технічні характеристики зуборезного верстата 525

Наименование параметра 525 528с
Основні параметри верстата
Класс точності верстата по ГОСТ 8-82 і ГОСТ 659-78 Н Н
Наибольший окружной модуль нарезаемого колеса, мм 10 16
Наибольшая длина образующей начального конуса при угле спирали 0° / 30°, мм 180 /260 285 / 420
Наименьшая длина образующей, мм 0 0
Наибольший диаметр делительной окружности нарезаемых колес при передаточном отношении нарезаемой пары 10:1 при угле спирали 0° / 30°, мм 500 / 360 575 / 800
Наибольший диаметр делительной окружности нарезаемых колес при передаточном отношении нарезаемой пары 2:1 при угле спирали 0° / 30°, мм 450 / 320 520 / 750
Наибольший диаметр делительной окружности нарезаемых колес при передаточном отношении нарезаемой пары 1:1 при угле спирали 0° / 30°, мм 350 / 250 395 / 600
Угол внутреннего конуса (начального конуса), град 4°..90° 5°30`..84°
Наибольшее передаточное отношение нарезаемой пары при угле между осями 90° 10:1 10:1
Наибольшая длина зуба нарезаемого колеса (Наибольшая ширина зубчатого венца), мм 65 100
Наибольшая высота нарезаемого зуба, мм 20
Наибольшее число нарезаемых зубьев 5..100 4..100
Угол спирали, град 0°..50°
Угол наклона зуба, град 0°..45°
Инструментальная бабка. Розміри инструмента
Диаметры резцовых головок, мм 6", 9", 12" 250, 315, 500
Люлька
Поворот люльки при наладке, град 0..360° 0..360°
Установка угла ексцентрикового барабана, град 0..240 0..180
Соответствующее радиальное смещение шпинделя резцовой головки, мм 0..126 340
Наибольший угол качания люльки от центрального положения вверх і вниз, град 0..60° 0..60°
Точность отсчета по шкале поворота люльки, мин 1
Одно деление шкалы поворота ексцентрикового барабана, мин 20
Расстояние от центра верстата до торца шпинделя (опорный торец для установки резцовой головки), мм 67,3
Бабка вироби (Ділильна бабка)
Расстояние от торца шпинделя бабки вироби до центра верстата, мм 60..360 135..600
Вертикальное смещение шпинделя вниз от центрального розположення при установленном расстоянии от торца шпинделя бабки вироби до центра верстата до 115 / свыше 115, мм 10 / 75
Вертикальное смещение шпинделя вниз от центрального розположення при установленном расстоянии от торца шпинделя бабки вироби до центра верстата 135..325, мм 20
Вертикальное смещение шпинделя вниз от центрального розположення при установленном расстоянии от торца шпинделя бабки вироби до центра верстата 326..600, мм 100
Вертикальное смещение шпинделя вверх от центрального положения, мм 75 110
Розміри конического / сквозного отверстия в шпинделе, мм 100 / 78 153 / 125
Точность отсчета по шкале осевой установки бабки, мм 0,01
Точность отсчета по шкале установки бабки на угол внутреннего конуса, мин 1
Одно деление шкалы отсчета установки бабки на угол внутреннего конуса, мин 10
Установка бабки на угол внутреннего конуса, град 5°30`..84°
Одно деление шкалы гипоидного смещения бабки, мм 1
Стол
Наибольшее смещение от центрального положения,мм ±25 ±25
Привід і електрообладнання верстата
Количество електродвигателей, установленных на станке
Електродвигун головного привода, кВт (об/мин) 4,5 (2870) 10 (2920)
Електродвигун гідропривода, кВт (об/мин) 1,7 (930) 2,2 (1430)
Електродвигун приводу гідронасоса охлаждения, кВт (об/мин)<
Суммарная мощность електродвигателей, кВт
Габаритные розміри і масса верстата
Габаритные розміри верстата (длина х ширина х высота), мм 2200 х 1600 х 1600
Масса верстата з електрообладнанням і охолодженням, кг 7000

Использованная литература:


  1. Верстат для нарізання спиральнозубых конических колес модедели 525, 1954 год, ЭНИМС і завод "Станкоконструкция"

  2. Гальперин Е.И. Наладка зуборезных верстатів. 1960.
  3. Ачеркан Н.С. Металлорежущие верстати. Том 1. 1965.
  4. Кучер А.М. Киватицкий М.М. Покровский А.А. Металлорежущие верстати. (Альбом общих видов, кинематических схем і вузлів) 1972.
  5. Руководящий материал для конструкторов, проектирующих технологическую оснастку. Основні данные і посадочные места металлорежущих верстатів. НИИМАШ, 1968.
  6. Малахов Я.А. Зубообрабатывающие і резьбофрезерные верстати і их наладка. 1972.
  7. Мильштейн М.З. Нарезание зубчатых колес. Москва, 1972.
  8. Лоскутов В.В. Ничков А.Г. Зубообрабатывающие верстати. Москва, М. 1978.
  9. Птицин Г.А. Кокичев В.Н. Зуборезные верстати. 1957.









Заказать

Кто владеет информацией - тот владеет миром.

Натан Ротшильд