metalinstryment.com
Довідник по металорізальних верстатів та пресовому обладнанні

561 Верстат резьбофрезерный горизонтальный напівавтомат
схеми, опис, характеристики

561 Загальний вигляд  зубофрезерного верстата







Відомості про виробника резьбофрезерного напівавтомату 561

Производитель горизонтального резьбофрезерного напівавтомату 561 - Станкостроительный завод им. ЦК Машиностроения переименованный в дальнейшем в Средневолжский станкостроительный завод, СВСЗ.

Верстат запущен в производство в 1935 году. Это был первый резьбофрезерный верстат, разработанный і изготовленный в СССР.





Верстати токарные производства СВСЗ


561 Верстат горизонтальный резьбофрезерный напівавтомат. Назначение і область применения

Верстат предназначен для фрезерування длинных наружных різьб в условиях серийного производства. В индивидуальном і мелкосерийном производстве верстат применяется также для нарізання коротких резьб, фрезерування шлицевых валиков і нарізання цилиндрических зубчатых колес. При наличии додаткових пристосувань на станке могут быть нарезаны внутренние різьби.

На станке можно производить наступні основні виды работ:

Особливості конструкції і принцип роботи верстата

Для фрезерування длинных резьб, винтовых канавок і продольных пазов применяются дисковые фрезы соответствующего профиля; для фрезерування коротких крепежных різьб — гребенчатые фрезы. Зубчасті колеса і многошлицевые валики нарезают червячными фрезами. Фрезы устанавливают на шпинделе фрезерной головки, который приводится во вращение в соответствии з выбранной скоростью різання.

Фрезерная головка сделана поворотной. В процессе налаштування верстата ось шпинделя устанавливают так, чтобы плоскость обертання дисковий фрезы совпадала з направлением фрезеруемой канавки. Гребенчатые резьбовые фрезы располагают параллельно оси обрабатываемой детали: Червячные фрезы устанавливают так, чтобы направление их витков совпадало з направлением впадин нарезаемой детали.

Обрабатываемую деталь закрепляют в шпинделе передньої бабки. Для закрепления обрабатываемых деталей применяются поводковые, цанговые і кулачковые патроны. Длинные валы поддерживаются задньої бабкой, а в случае необходимости — подвижным і нерухомим люнетами.

При фрезеровании длинных резьб, дисковий фрезе, расположенной под углом, равным углу подъема різьби, сообщается вращение в соответствии з выбранной скоростью різання. Обрабатываемой детали, установленной в центрах передньої і задньої бабок і поддерживаемой люнетами, сообщается медленное вращение в соответствии з заданной скоростью подачі. Рухм образования винтовой поверхности является перемещение суппорта з фрезерной головкой, увязанное з вращением детали. За каждый оборот детали фрезеруется один виток різьби. Многозаходные різьби фрезеруются післядовательно ход за ходом. После фрезерування каждого захода производится делительный поворот обрабатываемой детали.

Нарезание коротких різьб гребенчатыми фрезами производится при аналогичном сочетании движений, однако в етом случае все витки різьби фрезеруются за один оборот детали.


561 Загальний вигляд резьбофрезерного верстата-напівавтомату

561 напівавтомат резьбофрезерный. Загальний вигляд

Загальний вигляд резьбофрезерного верстата 561

Основні вузли верстата

Органы керування верстата

  1. рукоятка для налаштування верстата на различные виды работ;
  2. рукоятки переключения коробки швидкостей;
  3. рукоятка керування верстатом;
  4. маховичок ручной поперечної подачі фрезерной головки;
  5. рукоятка керування коробкой подач.

561 Розташування органів керування шлицефрезерным напівавтоматом

561 Розташування органів керування шлицефрезерным напівавтоматом 561

Розташування органів керування шлицефрезерным верстатом 561

Розташування органів керування шлицефрезерным напівавтоматом 561. Дивитись у збільшеному масштабі





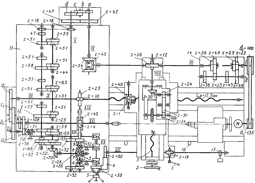
Схема кінематична резьбофрезерного верстата 561

Схема кінематична резьбофрезерного верстата 561

Кінематична схема резьбофрезерного верстата 561

1. Схема кінематична резьбофрезерного верстата 561. Дивитись у збільшеному масштабі

2. Схема кінематична резьбофрезерного верстата 561. Дивитись у збільшеному масштабі

3. Схема кінематична резьбофрезерного верстата 561. Дивитись у збільшеному масштабі



Короткий опис кінематичної схеми верстата 561

Движения в станке

В зависимости от вида производимых на станке работ шпинделю передньої бабки і суппорту фрезерной головки могут сообщаться:

  1. Рух різання — вращение шпинделя фрезерной головки з фрезой
  2. рух подачі
  3. рух деления
  4. рух обкатки
  5. рух образования винтовой поверхности

Вспомогательные руху

  1. быстрое вращение шпинделя передньої бабки
  2. быстрое перемещение суппорта з фрезерной головкой в продольном направлении
  3. руху механізма керування і переключения
  4. робота делительного пристроя.



Кинематика верстата моделі 561

Рух різання

Шпиндель VI (рис. 103, а) фрезерной головки приводится во вращение електродвигуном мощностью 3 кВт через плоскоременную передачу 135—260, коробку швидкостей, ходовой вал III, винтовую зубчатую передачу 12—36, вал IV. конические колеса 30—30, вал V і цилиндрические шестерни 24—91—24.

В коробке швидкостей имеется два двойных подвижных блока шестерен Б1 і Б2 з торцовыми зубьями на внутренних сторонах. Как видно из рис. 103, 6, шпиндель имеет п'ять швидкостей обертання. Четыре скорости обертання вала III і соответственно шпинделя VI получаются за счет обычного переруху блоков Б4 і Б2. Пятая скорость обертання достигается непосредственным соединением торцовых зубьев обоих блоков шестерен.

Косозубые шестерни 12 і колесо 36 установлены соответственно на валах III і IV на направляючих шпонках. Это позволяет, не нарушая кінематичної ланцюги руху різання, перемещать фрезерную головку в продольном і поперечном направлениях.

Коническая передача 30—30 необходима для поворота фрезерной головки относительно оси вала IV в соответствии з углом подъема винтовой линии фрезеруемой різьби или канавки.

Фрезерная головка имеет подвеску для поддержания шпиндельных оправок.

Наименьшая скорость обертання шпинделя фрезерной головки nmin c учетом упругого ковзання ремня определяется выражением:

Движения подач

Привід подач состоит из конического реверса, 32-ступенчатой коробки подач, гітари сменных колес і ряда передаточных механізмов. Коробка подач шестиваловая з перебором.

Расположенные соосно валы IX, XI і XIII несут на себе десять одиночных наглухо закрепленных шестерен. Кроме того, на валу XIII находится свободно вращающийся двойной блок шестерен 33, 69.

На валах X, XII і XIV, также расположенных соосно, установлены двойные подвижные блоки шестерен Б3, Б4, Б5, Б6 і Б7. На валу XIV так же, как і на валу XIII, находится свободно вращающийся двойной блок шестерен 33, 70, являющийся переборным пристрійм.

Нетрудно видеть, что блоки шестерен Б3, Б4, Б5 і Б6 позволяют сообщить валу XIII шестнадцать различных швидкостей обертання, которые могут сообщаться валу XIV либо непосредственно, когда блок шестерен Б7, как показано на схеме, находится в зацеплении з шестерней 51, либо через перебор, когда блок шестерен Б7 введен в зацепление з шестерней 33 блока, свободно сидящего на валу XIII. В етом случае вращение от вала XIII передається валу XIV через шестерни 32—70, 33—69 і 33—69.

Коробка подач связана з механізмом переключения конической передачей 28—28, валом XV і червячной передачей 3—36. Механізм переключения связан также шестернями 32—32 і 32—32 з быстро вращающимся валом VIII, от которого заимствуются быстрые переміщення рабочих органів верстата і руху делительное і обкатки.

Вспомогательные руху

Механізм переключения состоит из двусторонних кулачковых муфт М2 і М3. односторонней кулачковой муфты М4, управляющего вала XXIII з барабанными кривыми і рычажной системы. При включении муфты М2 вниз вращение от червячной шестерни 36 через полый вал XVII і червячную передачу 4—40 передається шпинделю передньої бабки, созагальна ему круговую подачу. При включении муфты М2 вверх шпиндель получает быстрое вращение.

Увімкненням муфты М3 вверх или вниз можно через вал XVI, винтовые шестерни 10—25 і ходовой винт XX сообщить суппорту з фрезерной головкой соответственно рабочую подачу или быстрое перемещение.

Муфта М4 связывает кинематическую ланцюг, соединяющую шпиндель XVIII з ходовым винтом XX.

Механізм переключения в зависимости от вида работ, выполняемых на станке, предварительно настраивается на определенный цикл роботи з помощью штурвала Ш. Для етого післядний оттягивают на себя і поворачивают в положение, руководствуясь табличкой з соответствующей надписью, після чего движением от себя ставят штурвал в первоначальное положение. При етом штурвал Ш сцепляется з шестерней 50 посредством цилиндрического штифта.

В процессе роботи переключающий механізм управляется рукояткой Р, которая воздействует на вал XXIII через вал XXI, винтовые шестерни 18—18, ходовой валик XXII і двойную реечную передачу 60 — рейка — 50.

Продольное ручное перемещение суппорта з фрезерной головкой производится через червячную передачу 1—40 з помощью рукоятки, надеваемой на квадратный конец вала XXIV. Поперечная подача і поперечное установочное перемещение суппорта осуществляется только вручную маховичком Мх, установленным на поперечном ходовом винте з шагом 5 мм.

Делительный поворот детали при нарезании многозаходных різьб или многозаходных винтовых канавок осуществляется з помощью делительного диска Д1 і защелки.





Кинематические ланцюги верстата моделі 561 при различных видах работ

Схема Структурна резьбофрезерного верстата 561

Структурна схема резьбофрезерного верстата 561

1. Схема Структурна резьбофрезерного верстата 561. Дивитись у збільшеному масштабі



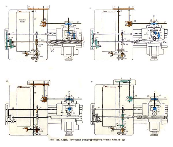
Схеми налаштування резьбофрезерного верстата 561

Схеми налаштування резьбофрезерного верстата 561

Схеми налаштування резьбофрезерного верстата 561. Дивитись у збільшеному масштабі



Фрезерование різьби

При налаштуванні верстата дли данного вида роботи (рис. 104, а) включается муфта М4; муфта М2 сцепляется з червячным колесом 36, а муфта М3 устанавливается в нейтральное положение.

Круговая подача шпинделя XVIII осуществляется от ходового вала III через конічний реверс 45—54—54, вал VII, шестерни 47—47, вал VIII, цепную передачу 18—18, коробку подач, конические шестерни 28—28, вал XV, червячную передачу 3—36, кулачковую муфту М2, полый вал XVII і червячную передачу 4—40.

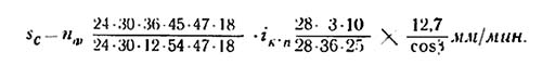
Истинная величина подачі so з учетом подъема винтовой линии різьби выражается формулой:

Зная число оборотів фрезы в минуту nф, диаметр обрабатываемого вироби du в мм і угол подъема винтовой линии різьби а. можно по заданной величине подачі sо определить требуемое передаточное отношение коробки подач iKn .

Перемещение суппорта з фрезерной головкой производится от шпинделя вироби через делительный диск Д1, шестерни 108—36, кулачковую муфту М4. вал XIX і сменные колеса гітари різьби a1-b1 і і c1-d1. За один оборот вироби супорт должен переместиться па величину, равную произведению числа заходов Ки на шаг t і нарезаемой різьби, т. е.

Фрезерование винтовых канавок

Ввиду того, что винтовые канавки имеют крупный шаг, в кінематичної ланцюги шпиндель вироби— ходовой винт ведущим приходится делать не шпиндель, а ходовой винт. Для етого муфта М2 (рис. 104, б) ставится в нейтральное положение, муфта М3 сцепляется з червячным колесом 36, а муфта М4 остается включенной. В етом случае движением подачі является относительное перемещение фрезы вдоль фрезеруемой канавки з углом наклона β. Величина подачі sc определяется рівнянням кінематичної ланцюги

И в етом случае перемещение суппорта з фрезерной головкой должно быть точно согласовано з вращением детали. При перемещении суппорта на шаг Т винтовой канавки деталь должна повернуться на один оборот, т. е.

Фрезерование продольных пазов

В етом случае шпиндель з обрабатываемой деталью должен оставаться неподвижным. Для етого муфта М4 (рис. 104, в) выключается, а шпиндель надежно фиксируется в определенном положении. Подача суппорта з фрезерной головкой осуществляется ходовым винтом XX, который получает вращение or червячной шестерни 36 через вал XVI і винтовые колеса 10—25.

Для етого, как і в предыдущем случае, муфта М3 сцепляется з червячным колесом 36, а муфта М2 устанавливается в нейтральное положение.

Продольный паз можно представить как винтовую канавку з углом наклона β=0°. В таком случае выбор передаточного отношения коробки подач iKn для получения заданной подачі s можно производить по формуле для фрезерування винтовых канавок з учетом того, что cosβ= 1.

Фрезерование методом обкатки

Для осуществления етого метода необходимо обеспечить определенную кинематическую связь между вращением фрезы і обрабатываемой детали. Суппорт з фрезерной головкой должен при етом получать подачу вдоль оси детали. Кинематическая связь между шпинделем фрезы і обрабатываемой деталью обеспечивается гітарою обкатки і деления со сменными колесами а, b, з і d (рис. 104, г).

В етом случае шестерни 47 і 47 снимаются з валов VII і VIII, муфта М2 сцепляется з цилиндрической шестерней 32, муфта М3 сцепляется з червячным колесом 36, а муфта М4 выключается.

Как известно, при работе методом обкатки за, один оборот червячной фрезы деталь должна повернуться на К/Z оборотів, где k — число ходов червячной фрезы, a z — число зубьев или число шлицев детали. В соответствии з етим условием рівняння кінематичної ланцюги от фрезы до шпинделя детали должно мати вид

При работе методом обкатки подачі суппорта s o рассчитывается на один оборот детали. Рівняння кінематичної ланцюги от шпинделя детали до суппорта имеет вид




Технічні характеристики резьбофрезерного верстата 561

Наименование параметра 561
Основні параметри верстата
Высота центров верстата, мм 200
Наибольший диаметр обрабатываемой детали над станиной, мм 400
Наибольший диаметр обрабатываемой детали над суппортом, мм 200
Диаметр отверстия полого шпинделя, мм 82
Наибольшая длина фрезерування, мм 700
Наибольшая глубина фрезерування, мм 25
Пределы нарезаемых шагов метрических резьб, мм 1..48
Наибольший шаг винтовой канавки, мм 700
Пределы нарезаемых шагов дюймовых резьб, дюйм 1/16..16/4
Наибольший нарезаемый модуль, мм 12
Пределы диаметров применяемых в станке фрез, мм 70..115
Количество швидкостей обертання шпинделя 5
Пределы чисел оборотів шпинделя в минуту, об/мин 55..250
Количество швидкостей круговых подач обрабатываемой детали 32
Количество величин продольных подач фрезерной головки 32
Пределы швидкостей круговых подач детали, об/мин 0,014..52
Привід і електрообладнання верстата
Количество електродвигателей, установленных на станке
Електродвигун головного привода, кВт 3
Габаритные розміри і масса верстата
Габаритные розміри верстата (длина х ширина х высота), мм
Масса верстата з електрообладнанням і охолодженням, кг







Заказать

Кто владеет информацией - тот владеет миром.

Натан Ротшильд